ЕГЭ - 2022

Решение заданий ЕГЭ

Введите искомую фразу или слово

Задание 4

Груз массой 0,2 кг колеблется на пружине. Его ско ростьvменяется по закону

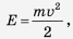
гдеt —время с момента начала колебаний,Т =2с —период колебаний, v0=1,4 м/с. Кинетическая энергияЕ(в джоулях) груза вычисляется по формуле

гдеm —масса груза в килограммах,v —скорость груза (в м/с). Найдите кинетическую энергию груза через 58 секунд после начала колебаний.

Ответ: 0,196

textbooks1-11.ru

ЕГЭ. Теория и практика

Все права защищены. Copyright © 2018. Учебные материалы, взяты из открытых источников. Если какой-либо из материалов нарушает ваши авторские права, просим немедленно связаться с нами по e-mail: textboox1.11@gmail.com